Антиоксидантный эффект
Мелатонин нейтрализует разрушительные последствия окислительных процессов, которые являются основной причиной старения и увядания кожи.
Важнейшая функция мелатонина — антиоксидантная активность, проявляющаяся в организме повсеместно, так как мелатонин проникает во все органы и ткани. Механизм антиоксидантного действия проявляется в том, что мелатонин обладает выраженной способностью связывать свободные радикалы, в том числе образующиеся при перекисном окислении липидов гидроксильных радикалов, и экзогенные канцерогены, также он активирует глутатионпероксидазу — фактор защиты организма от свободнорадикального повреждения. Основные функции антиоксидантного действия мелатонина направлены на защиту ДНК. В меньшей степени — на защиту белков и липидов.
Мелатонин — самый сильный из известных эндогенных поглотителей свободных радикалов. В последние годы появились данные, что мелатонин может находиться не только в плазме, но и в ядрах клеток и предохранять макромолекулы ядра от окислительного повреждения во всех субклеточных структурах.
Антистрессовый эффект
После экспериментов и прямых клинических наблюдений была сформулирована концепция, что эпифиз и его гормон мелатонин входят в защитную систему организма от неблагоприятных воздействий. Эпифиз и мелатонин играют неспецифическую роль, но эпифизарная поддержка осуществляется на всех уровнях борьбы со стрессом. В случае длительной стрессовой ситуации отмечается двухфазная реакция: первоначальный спад эпифизарной деятельности в резистентную фазу стресса с дальнейшим резким её подъёмом.
В экспериментах на крысах было показано, что мелатонин способен менять отрицательное эмоциональное состояние, снижать тревожность, которая провоцируется различными стрессорами.
Согласно многочисленным наблюдениям, гормон стабилизирует деятельность различных эндокринных систем, дезорганизованных стрессом, в том числе ликвидируя избыточный стрессовый адреналовый гиперкортицизм.
При переизбытке мелатонина может развиваться депрессия.
Основные преимущества
Протеиновые батончики на сушке пользуются огромным спросом. Продукция выпускается в виде небольших шоколадок, в состав которых входят полезные ингредиенты.
Протеиновые батончики выгодно отличаются от всех аналогов следующими преимуществами:
- Белковые добавки содержат огромное количество качественных и полезных компонентов, которые являются основой правильно питания.
- Это отличная альтернатива для полезного перекуса. Употреблять протеиновые батончики можно даже на сушке, так как они не вредят фигуре.
- При ежедневном приеме можно стремительно нарастить необходимую мышечную массу.
- В отличие от классических десертных батончиков эта продукция содержит быстрые и медленные углеводы в умеренном количестве.
Циркадный ритм и сон
Одним из основных действий мелатонина является регуляция сна. Мелатонин — основной компонент cистемы организма, задающий темп. Он принимает участие в создании циркадного (циркадианного) ритма: он непосредственно воздействует на клетки и изменяет уровень секреции других гормонов и биологически активных веществ, концентрация которых зависит от времени суток. Влияние светового цикла на ритм секреции мелатонина показано в наблюдении за слепыми. У большинства из них обнаружена ритмичная секреция гормона, но со свободно меняющимся периодом, отличающимся от суточного (25-часовой цикл по сравнению с 24-часовым суточным). То есть у большинства слепых людей ритм секреции мелатонина имеет вид циркадианной мелатониновой волны, «свободно бегущей» в отсутствие смены циклов свет-темнота. Сдвиг ритма секреции мелатонина происходит и при перелёте в другие часовые пояса.
Роль эпифиза и эпифизарного мелатонина в суточной и сезонной ритмике, режиме сна-бодрствования на сегодняшний день представляется несомненной. У диурнальных (дневных) животных (в том числе у человека) секреция мелатонина эпифизом совпадает с привычными часами сна. Проведёнными исследованиями было доказано, что повышение уровня мелатонина не является обязательным сигналом к началу сна. У большинства испытуемых прием физиологических доз мелатонина вызывал лишь мягкий седативный эффект и снижал реактивность на обычные окружающие стимулы.
Существует гипотеза, что мелатонин играет роль в открытии так называемых ворот сна, в торможении режимов бодрствования, а не в прямом воздействии на сомногенные структуры головного мозга. По мнению физиологов-сомнологов, открытию «ворот сна» предшествует период повышенной активации человека — «запретный период» («запретная зона») для сна, которая довольно резко сменяется «открытием ворот».
С возрастом активность эпифиза снижается, поэтому количество мелатонина уменьшается, сон становится поверхностным и беспокойным, возможна бессонница. Мелатонин способствует устранению бессонницы, предотвращает нарушение суточного режима организма и биоритма. Бессонница и недосыпание уступают место здоровому и глубокому сну, который снимает усталость и раздражительность. Во время спокойного глубокого сна в организме нормализуется работа всех внутренних органов и систем, расслабляются мышцы, отдыхает нервная система, мозг успевает обработать накопленную за день информацию. В итоге человек чувствует себя бодрым и здоровым.
С нарушением нормального режима выработки мелатонина связаны расстройства циркадных ритмов и такие патологии, как джетлаг; бессонница, обусловленная сменным графиком работы; бессонница выходного дня; синдром задержки фазы сна и другие.
Правила и принципы диеты
Исключение из рациона глютеновых продуктов сопряжено с серьезными изменениями внутри организма. Человеку понадобится некоторое время, чтобы привыкнуть питаться правильно. В процессе адаптации диетологи рекомендуют придерживаться следующих правил:
- При выборе продуктов питания внимательно читать состав, указанный на упаковке. В нем не должно быть глютена, солода, пшеничной муки, крахмала, ароматизаторов, пивных дрожжей, сахарозаменителей (мальтола, изомалтола, мальтитного сиропа).
- Держите продукты с глютеном в отдельной посуде от тех, которые не содержат клейковины, даже в холодильнике.
- Пищу можно готовить на пару, запекать, отваривать. От маринованных, соленых или жареных блюд лучше отказаться.
- Для улучшения самочувствия питаться лучше дробно – по 5–6 раз в день. При этом последний прием пищи должен быть не позднее, чем за 4–5 часов до сна.
- Какао, кофе или чай должны быть только натуральными, без добавок или ароматизаторов.
- Нельзя употреблять в пищу полуфабрикаты или продукты из списка запрещенных.
Структура рациона
Аглютеновое питание должно содержать повышенное количество белков, минералов и витаминов
Особое внимание следует уделить приему специальных поливитаминных комплексов с кальцием: это поможет предотвратить анемию и ломкость костей, укрепит зубы, ногти волосы. Количество жиров на начальных этапах лечения следует ограничить, предпочтение стоит отдать легкоусвояемым маслам – растительному или сливочному. Углеводы остаются на прежнем уровне – 400–450 грамм в сутки
Разрешены практически любые фрукты и овощи, творог, молочные продукты, рыба, мясо, яйца. Во избежание скопления лишней жидкости стоит сократить потребление соли до 8 грамм. Важный момент – углеводы нужно употреблять в первой половине дня, ужин должен состоять из белков и клетчатки. Суточный химический состав блюд должен находиться в следующих пределах:
Углеводы остаются на прежнем уровне – 400–450 грамм в сутки. Разрешены практически любые фрукты и овощи, творог, молочные продукты, рыба, мясо, яйца. Во избежание скопления лишней жидкости стоит сократить потребление соли до 8 грамм. Важный момент – углеводы нужно употреблять в первой половине дня, ужин должен состоять из белков и клетчатки. Суточный химический состав блюд должен находиться в следующих пределах:
- белки – 120 г;
- жиры – 100 г;
- углеводы – 450 г;
- калорийность – 2700–3000 ккал.
Продукты без глютена
Сегодня можно купить массу вкусных и полезных продуктов, где будет полностью отсутствовать клейковина. Многие производители даже научились выпускать отдельные безглютеновые сорта хлеба и макаронных изделий. В меню человека, страдающего от целиакии, должны преобладать такие блюда:
- Печенье, оладьи, блинчики, хлеб или выпечка из гречневой, кукурузной, соевой или рисовой муки.
- Вегетарианские первые блюда или супы на мясном и рыбном бульоне с гречкой, рисом, картофелем и бобовыми овощами.
- Блюда из нежирных сортов мяса, рыбы или птицы – индейка, кролик, лещ, треска, хек, кролик, говядина, курица, субпродукты.
- Гарниры из овощей – тыквы, кабачка, моркови, отварной цветной капусты, пюре из картофеля или гороха.
- Паровые омлеты, отварные куриные или перепелиные яйца.
- Молочные соусы, приготовленные на муке из кукурузы или риса.
- Натуральные чаи, кофе, отвары шиповника, сладкие фруктовые соки, разбавленные водой.
- Жиры – сливочное, оливковое, растительное масло (всего по 50 г в сутки).
- Молочная продукция – йогурт, творог, сыры из домашнего молока, сметана.
- Домашние консервы – пастила, джем, повидло, варенье, тушенка.
- Фрукты, за исключением бананов и фиников.
Перечень запрещенных продуктов
Из рациона необходимо полностью исключить очевидные продукты с глютеном. К ним относятся:
- злаковые крупы – пшеница, рожь, овес, ячмень;
- все промышленные молочные продукты, включая сгущенку и твердый сыр;
- пшеничная, ржаная, овсяная мука;
- кондитерские изделия;
- макароны;
- манная, овсяная, перловая, ячневая, пшеничная каши;
- полуфабрикаты;
- бананы и финики;
- кукурузные хлопья;
- бульонные кубики;
- пшеничные отруби;
- газированные напитки с солодом – квас, пиво и прочее;
- готовые изделия в панировке – котлеты, тефтели, нагетсы.
С осторожностью следует покупать готовую продукцию. Производители часто включают в ее рецептуру сухое молоко или глютенсодержащие добавки, но могут не отображать это на упаковке с товаром. К источникам скрытой клейковины относятся:
К источникам скрытой клейковины относятся:
- колбасы;
- сосиски;
- ветчина;
- рыбные или мясные консервы, особенно с томатом;
- соусы, кетчупы, майонез;
- растворимый кофе, какао-порошок, чай с ароматизатором, растворимые напитки;
- овощные консервы – рагу, икра из кабачков;
- зефир, лукум, халва;
- конфеты, шоколад, печенье, торты, пирожные, булочки.
Выработка гормона
На сегодняшний день до конца неизвестно, в какое время суток идет наибольшая выработка мелатонина, но ученые сходятся во мнении, что это происходит с полуночи до 5 часов утра. Для полноценной выработки мелатонина недостаточно просто спать по 5 часов в сутки. Необходимо также приобрести плотные шторы, которые максимально будут защищать вас от света с улицы. Если же ночью через темноту в помещение будет попадать посторонний свет, полноценно отдохнуть у вас все равно не получится.
Если по каким-то причинам ваш ночной сон был нарушен, у вас не получится восполнить силы с помощью дневного отдыха, и состояние все равно будет подавленным.
Синтез и секреция
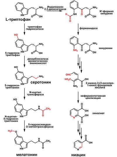
Синтез мелатонина (а также серотонина, ниацина) из триптофана
В организме человека мелатонин синтезируется из аминокислоты триптофана, которая участвует в синтезе нейромедиатора (нейропередатчика) серотонина, а он, в свою очередь, под воздействием фермента N-ацетилтрансферазы превращается в мелатонин. Показано, что мелатонин является индольным производным серотонина и синтезируется ночью ферментами N-ацетилтрансферазой и гидроксииндол-О-метилтрансферазой. У взрослого человека за сутки синтезируется около 30 мкг[источник не указан 1176 дней] мелатонина, его концентрация в сыворотке крови ночью в 30 раз больше, чем днём, причём максимум концентрации в среднем по множеству наблюдений приходится приблизительно на 2 часа ночи по местному солнечному времени. Мелатонин транспортируется сывороточным альбумином, после освобождения от альбумина связывается со специфическими рецепторами на мембране клеток-мишеней, проникает в ядро и там осуществляет своё действие. Мелатонин быстро гидролизуется в печени и экскретируется с мочой, основным метаболитом является 6-гидроксимелатонин-сульфат (6-СОМТ), содержание которого позволяет косвенно судить о продукции мелатонина эпифизом.
В организме присутствует и мелатонин, образующийся вне эпифиза. Это открытие в 1974 году сделали российские учёные Н. Т. Райхлин и И. М. Кветной — они обнаружили, что мелатонин синтезируется в клетках червеобразного отростка кишечника. Затем выяснилось, что мелатонин образуется и в других отделах желудочно-кишечного тракта, а также во многих других органах.
Секреция мелатонина подчинена суточному ритму, определяющему, в свою очередь, ритмичность гонадотропных эффектов и половой функции. Синтез и секреция мелатонина зависят от освещённости — избыток света понижает его образование, а снижение освещённости увеличивает синтез и секрецию гормона. У человека с нормальным распорядком дня (со сном ночью) на ночные часы приходится примерно 70 % суточной продукции мелатонина. В клинических условиях установлено, что депривация сна в ночные часы приводит к нарушению суточного ритма выработки мелатонина — продукция в ночное время снижается и приближается к дневному уровню.
Описание
Гормон мелатонин был открыт в 1958 году А. Б. Лернером. Это основной гормон эпифиза — органа, передающего информацию о световом режиме окружающей среды во внутреннюю среду организма. Изменения концентрации мелатонина имеют заметный суточный ритм — как правило, высокий уровень гормона в течение ночи и низкий уровень в течение дня. Максимальные значения концентрации мелатонина в крови человека наблюдаются между полуночью и 5 часами утра по местному солнечному времени. Вырабатывается основными секреторными клетками эпифиза — пинеалоцитами.
Время биологического полураспада мелатонина — 45 минут. Это означает, что для исследовательских целей образцы крови должны быть собраны через короткие промежутки времени для того, чтобы определить период в продукции мелатонина. Кроме того, нарушение сна пациента в течение ночи с целью сбора образцов может повлиять на уровень мелатонина в крови. Этих проблем можно избежать, если определять уровни метаболитов мелатонина: мелатонин сульфата (6-сульфатоксимелатонина) и 6-гидроксиглюкуронида в моче. 80—90 % мелатонина секретируется в мочу в виде мелатонин сульфата. Концентрация мелатонин сульфата в моче хорошо коррелирует с общим уровнем мелатонина в крови в течение периода сбора образцов.
Синтезированный в эпифизе мелатонин поступает в кровь и спинномозговую жидкость — ликвор, пройдя через которую, накапливается в гипоталамусе. Помимо крови и цереброспинальной жидкости, мелатонин обнаружен в моче, слюне, амниотической жидкости.
Регулирующая роль мелатонина универсальна для всех живых организмов — доказаны присутствие этого гормона и чёткая ритмичность его продукции у всех известных животных, начиная с одноклеточных.
Экстрапинеальный синтез мелатонина
Количества гормона, которое вырабатывается в шишковидной железе, не хватает для обеспечения столь многочисленных биологических эффектов мелатонина. Исследованиями было показано, что после удаления пинеальной железы у экспериментальных животных в крови обнаруживаются значимые количества мелатонина. В настоящее время твёрдо установлено, что пинеальная железа не является монопольным органом выработки мелатонина. Экстрапинеальными источниками синтеза мелатонина являются энтерохромаффинные клетки желудочно-кишечного тракта (ЕС-клетки), основные клетки-депо серотонина (содержат до 95 % всего эндогенного серотонина) — предшественника мелатонина. Выявлен синтез этого гормона в большом количестве нейроэндокринных клеток воздухоносных путей, лёгких, в корковом слое почек и вдоль границы между корковым и мозговым слоем надпочечников, под печёночной капсулой, в параганглиях, яичниках, эндометрии, предстательной железе, плаценте, желчном пузыре и внутреннем ухе. Синтез мелатонина обнаружен также и в неэндокринных клетках:
- в клетках крови — тучных клетках,
- лимфоцитах — естественных киллерах,
- тромбоцитах,
- эозинофильных лейкоцитах,
- в тимусе,
- поджелудочной железе,
- мозжечке,
- сетчатке глаза,
- в некоторых эндотелиальных клетках.
Функционально многие клетки, продуцирующие мелатонин, относятся к так называемой диффузной нейроэндокринной системе — универсальной системе адаптации и поддержания гомеостаза организма.
В пределах этой системы выделяют два звена мелатонинпродуцирующих клеток:
- центральное (включает пинеальную железу и клетки зрительной системы), в котором ритм секреции мелатонина совпадает с ритмом «свет-темнота»;
- периферическое — все остальные клетки, где секреция гормона не зависит от освещённости.
Как принимать мелатонин?
Мелатонин выпускается американской компанией в форме капсул либо таблеток. Взрослым рекомендуется — 3-6 мг в сутки. Подросткам — не более 3 мг.
Как пить мелатонин? Его принимают за 30 мин до отхода ко сну. Не разжевывают и запивают достаточным количеством воды. При резкой смене циркадных ритмов, связанных с перелетами, препарат начинают употреблять за сутки-двое, и продолжают прием в течение 5-6 дней.
Прием мелатонина в таблетках компенсирует недостаток гормона в организме. На снижение уровня природного вещества в влияет нарушение режима сна и бодрствования. Эта проблема всех современных горожан. Стремясь искусственно удлинить день, люди поздно ложатся спать. Лишая организм мелатонина, мы снижаем качество жизни и сокращаем ее продолжительность.
Для чего нужен мелатонин?
Он регулирует наши биологические ритмы. Его активный синтез происходит в темное время суток. Максимальная концентрация вещества в крови наблюдается к 2 часам ночи. Являясь сильнейшим природным иммуномодулятором, во время сна он восстанавливает и укрепляет наши системы и органы. Он поглощает свободные радикалы — молекулы, разрушительно воздействующие на организм. Защищая наш глубокий сон, гормон минимизирует последствия стрессов, препятствует преждевременному старению.
Снотворное мелатонин является продуктом фармацевтической промышленности. Биологически активная добавка отличается безопасностью и не вызывает привыкания. В аптечной сети ее можно приобрести безрецептурно.
Применение мелатонина не прямо воздействует на вызывающие сон структуры мозга, а тормозит режим бодрствования.
Что такое мелатонин?
Мелатонин — гормон, вырабатываемый организмом во время сна в определенное время. Данное вещество отвечает за суточные ритмы, а также другие процессы в организме. Суточные ритмы существенно влияют на психику человека. Мелатонин является очень важным гормоном, который регулирует колебания метаболизма. Существенное влияние мелатонин оказывает и на половые гормоны.
Название «гормон сна» обрел из-за своих функциональных обязанностей. Это будто часы организма, на которые существенное влияние оказывает световой период дня. Стоит заметить, что у каждого человека свой период бодрствования и отдыха.
Противоопухолевый эффект
На ранних стадиях эмбрионального развития биогенные амины, в том числе мелатонин, играют роль специализированных клеточных сигнальных молекул, которые регулируют процессы клеточного обновления. Установлено, что мелатонин может подавлять клеточную пролиферацию, при этом сила его воздействия не уступает мощному цитотоксическому агенту колхицину. В ряде исследований на лабораторных животных и в системах культур опухолевых тканей было обнаружено, что мелатонин обладает противоопухолевым, онкостатическим действием.
Механизмы воздействия мелатонина на опухолевый рост многообразны: он может влиять на синтез и секрецию гипофизарных и половых гормонов, способен модулировать иммунный ответ при наличии опухолевых клеток и оказывать прямой цитотоксический эффект.
Имеются предположения, что мелатонин может усиливать экспрессию молекул адгезии и этим препятствовать росту опухоли, так как известно, что в большинстве злокачественных опухолей наличествуют нарушения в адгезии клеток и дефекты функциональных межклеточных связей.
Метаболит мелатонина достоверно положительно коррелирует с надёжным маркером пролиферативной активности опухолевых клеток — ядерным антигеном пролиферирующих клеток (PCNA). Этот показатель отражает степень прогрессии опухоли, то есть метаболиты мелатонина могут служить достоверным диагностическим фактором.
Под воздействием мелатонина при некоторых формах рака (молочной железы, яичников, предстательной железы и др.) наблюдалось снижение пролиферативной способности клеток и увеличивалось число клеток, гибнущих в форме апоптоза (онкостатический эффект). Мишенью для реализации противоопухолевых эффектов мелатонина могут служить ядерные рецепторы раковых клеток.
In vitro было показано подавление мелатонином роста клеток меланомы, хотя эффект гормона зависел от интенсивности пролиферации опухоли: рост ингибировался при умеренной, но не при высокой пролиферативной активности клеток. Эффекты мелатонина являлись дозозависимыми, но механизм онкостатического действия на настоящий момент все ещё не вполне понятен.
Эпидемиологические данные свидетельствуют, что у женщин, работающих в ночные смены, авиационных служащих (стюардессы, диспетчеры), операторов радио и телеграфа, отмечается повышенный риск развития рака молочной железы, тогда как у женщин первично слепых (то есть имеющих световую депривацию) этот риск в 2 раза меньше.
Рецепторы мелатонина
Мелатонин — редкий пример гормона, у которого имеются как мембранные, так и ядерные рецепторы. У млекопитающих имеется два мембранных рецептора мелатонина — MTNR1A (MT1), экспрессирующийся в основном на клетках передней доли гипофиза и супрахиазменных ядер гипоталамуса, но также присутствующий во многих периферических органах, и MTNR1B (MT2), экспрессирующийся в некоторых других участках мозга, в сетчатке и в лёгких. У птиц, амфибий и рыб имеется третий рецептор — MTNR1С (MT3), который у млекопитающих пока не клонирован. Рецепторы мелатонина относятся к семейству рецепторов, связанных с G-белками, и действуют через Gαi-белок, снижая уровень цАМФ.
Средство от бессонницы рамелтеон (ramelteon), выпускаемое в США под торговым названием Rozerem, связывается с обоими типами рецепторов мелатонина. С этими же рецепторами связывается антидепрессант агомелатин, зарегистрированный в России под торговым названием Вальдоксан.
Недавно открытые ядерные рецепторы мелатонина относятся к подсемейству RZR/ROR ретиноидных рецепторов. Видимо, через них опосредуются многие иммуностимулирующие и противоопухолевые эффекты мелатонина.
Влияние на сезонную ритмику и размножение
Так как продукция мелатонина зависит от длины светового дня, многие животные используют её как «сезонные часы». У людей, как и у животных, продукция мелатонина летом меньше, чем зимой. Таким образом, мелатонин может регулировать функции, зависящие от фотопериода — размножение, миграционное поведение, сезонную линьку. У видов птиц и млекопитающих, которые размножаются при длинном дне, мелатонин подавляет секрецию гонадотропинов и снижает уровень половой активности. У животных, размножающихся при коротком световом дне, мелатонин стимулирует половую активность.
Влияние мелатонина на репродуктивную функцию у человека недостаточно изучено. В период полового созревания пиковая (ночная) концентрация мелатонина резко снижается. Зимой число менструальных циклов, не заканчивающихся овуляцией, в среднем выше, чем летом. У женщин с гипофизарной аменореей концентрация мелатонина достоверно выше, чем у здоровых. Эти данные позволяют предполагать, что мелатонин подавляет репродуктивные функции у женщин.[источник не указан 693 дня]
